贵州教师招聘网

                        

您当前的位置:

2021年瓮安县特岗教师招聘笔试、面试及总成绩公布

文章来源:163贵州人事考试信息网编辑者:admin时间:2021-08-02 17:45阅读:


2023年贵州事业单位笔试培训课程

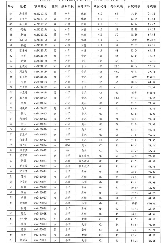
根据《瓮安县2021年“特岗计划”招聘方案》规定的招聘程序,现将瓮安县2021年特岗教师招聘笔试、面试及总成绩予以公布。

近日将发布进入体检人员名单及体检注意事项,请考生注意查看,因考生未查看导致的后果由考生自行负责。


联系电话:0854——2778567      2778885


附件:瓮安县2021年特岗教师招聘笔试、面试及总成绩登记册。


瓮安县2021年特岗教师

招聘领导小组办公室

2021年8月2日

    更多咨询 0851-86861255

    贵州教师考试网



    移动端/互动交流

    贵州教师招聘网公众号

    扫码关注:金粉笔公考

    贵州教师招聘QQ群

    扫码加入QQ:金粉笔公考

    在线咨询
    联系电话
    郑老师

    郑老师微信
    贵州金粉笔教育

    全国免费服务热线
    18185187910

    王老师

    王老师微信
    贵州金粉笔教育

    全国免费服务热线
    13368515037

    董老师

    董老师微信
    贵州金粉笔教育

    全国免费服务热线
    13378508157

    返回顶部